本网讯 铁电材料作为一类多功能材料,已广泛应用于存储器、电容器、驱动器、光电转换器等电子元器件中。不同的铁电材料具有不同的铁电机理和相应的应用场景,发现新颖的铁电机理对实现新颖应用至关重要。裸聊直播
缪乐平博士研究发现了具有非共线极化的铁电材料,相关研究成果近日以“Noncollinear ferroelectric and screw-type antiferroelectric phases in a metal-free hybrid molecular crystal”为题,发表于Nature Communications,裸聊直播
为论文第一完成单位。

图1. 晶体结构和非共线铁电
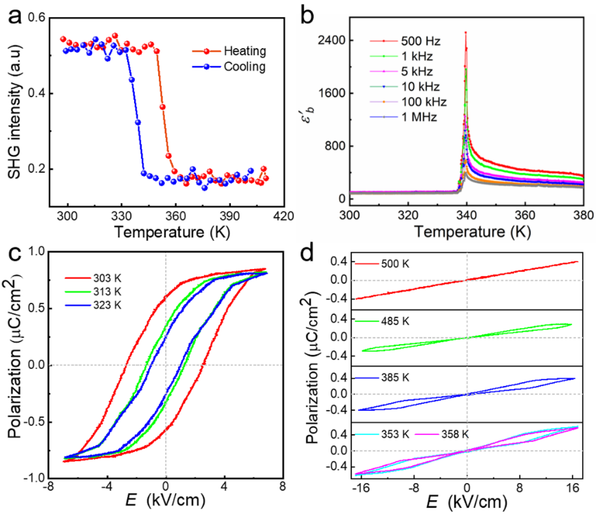
铁电材料是与铁磁材料类似的一类材料,即铁电材料的电极化行为和铁磁材料的磁极化行为相似。近年来,晶体中非共线自旋结构被发现与许多重要的物理现象有密切的联系,引起了广泛的关注和系统的研究。然而,对应的铁电材料中非共线极化现象的研究滞后,通常铁电体/反铁电体中的电偶极子是以线性的方式平行或者反平行排列的。



图2.铁电-反铁电性和非共线电极化结构起源
有机-无机杂化分子材料具有丰富的结构自由度,允许局部偶极子的各种立体取向,为实现非共线性电极化提供了分子基础。缪等设计了有机-无机杂化分子晶体(DABCO)2BrClO4,其中含有层状排列的偶极Br···[H2Dabco]氢键链(图1)。研究表明,由于氢键是弱相互作用,同一层中Br···[H2Dabco]可以形成相互转化的极化方向不同的氢键链。在室温时,只出现互为60°扭转角的两种氢键链层,晶体表现铁电的自发极化(图1d); 而在较高温度时,新的氢键链重新形成,晶体中出现互为60°扭转角的六种极化方向的氢键链,自发极化消失;然而这些氢键链能在电场下转化为只有两种偶极方向氢键链,表现出反铁电行为 (图2)。不同于通常的铁电体和反铁电体,该分子晶体的铁电相和反铁电相中偶极子是非共线的。这种独特的电极化开关模式导致低的郊顽场,在信息存储器件领域显示应用潜力。该研究不但揭示了非共线极化的独特科学意义,也为寻找丰富的非共线极化提供了有效途径。
该研究受到了国家自然科学基金委和江西省自然科学基金委的支持。
论文链接://doi.org/10.1038/s41467-024-54596-1.
(文/图 缪乐平 编辑/杨家兴)